Cell Signaling Technology Logo - Extra Large

SimpleChIP® Mouse Bivalent Promoter Assay Kit #8981

Inquiry Info. # 8981

Please see our recommended alternatives.

    Product Information

    Protocol

    Product Description

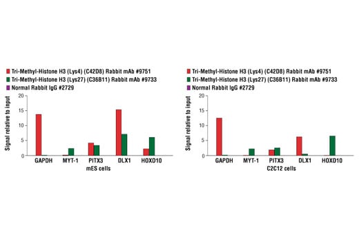
    The SimpleChIP® Mouse Bivalent Promoter Assay Kit contains ChIP-formulated antibodies and SimpleChIP® primers for the analysis of tri-methyl histone H3 Lys4 and Lys27 marks on target genes in mouse cells by chromatin immunoprecipitation (ChIP). SimpleChIP® Mouse GAPDH Intron 2 Primers are provided as a positive control for enrichment of tri-methyl Lys4, as GAPDH is a housekeeping gene that is heavily enriched for active histone marks. SimpleChIP® Mouse MYT-1 Promoter Primers are provided as a positive control for enrichment of tri-methyl Lys27 enrichment, as MYT-1 is repressed by polycomb proteins in most cell lines. SimpleChIP® Mouse PITX3 Intron 1 Primers are provided for enrichment of both marks, as PITX3 has been shown to be bivalent in many cell types (6). Antibodies and primers are tested and optimized for parallel use with the SimpleChIP® Enzymatic Chromatin IP Kits #9002 and #9003 and SYBR® Green quantitative real-time PCR. The kit provides enough reagents for 10 ChIP assays per antibody and 250 PCR reactions per primer set.

    Specificity / Sensitivity

    Each antibody in the SimpleChIP® Mouse Bivalent Promoter Assay Kit detects endogenous levels of its respective modified histone protein. SimpleChIP® Mouse GAPDH Intron 2 Primers contain a mix of PCR primers that are specific for amplification of a 200 base pair region of the mouse GAPDH gene. SimpleChIP® Mouse MYT-1 Promoter Primers contain a mix of PCR primers that are specific for the amplification of a 211 base pair region of the mouse MYT-1 gene. SimpleChIP® Mouse PITX3 Intron 1 Primers contain a mix of PCR primers that are specific for the amplification of a 248 base pair region of the mouse PITX3 gene.

    Species Reactivity:

    Mouse

    Background

    The nucleosome, made up of four core histone proteins (H2A, H2B, H3 and H4), is the primary building block of chromatin. Originally thought to function as a static scaffold for DNA packaging, histones have now been shown to be dynamic proteins, undergoing multiple types of post-translational modifications, including acetylation, phosphorylation, methylation and ubiquitination (1). Histone methylation is a major determinant for the formation of active and inactive regions of the genome and is crucial for the proper programming of the genome during development (2,3). Trithorax proteins catalyze the tri-methylation of histone H3 Lys4, a mark of transcriptional activation, while polycomb proteins establish and maintain tri-methylation of histone H3 Lys27, a mark of transcriptional repression (4,5). Though originally thought to be mutually exclusive, recent studies have shown that in stem cells certain developmental genes and highly conserved non-coding elements contain both of these marks (6-8). These ‘bivalent’ regions of the genome are poised for activation and are thought to hold the key to the vast potential of stem cells. As stem cells differentiate along a given lineage, many bivalent genes become monovalent, either retaining the tri-methyl histone H3 Lys4 mark if activated during differentiation, or the tri-methyl-histone H3 Lys27 mark if repressed. Chromatin immunoprecipitation (ChIP) is a powerful technique that can be used to identify bivalent domains in stem cells and changes in bivalency that occur during differentiation (6-8).

    Alternate Names

    bivalency; bivalent; chip; chromatin ip; gap; gapdh; h3; histone h3; immunoprecipitation; k27; k4; lys27; lys4; myt-1; pitx3; stem cell

    For Research Use Only. Not for Use in Diagnostic Procedures.
    Cell Signaling Technology is a trademark of Cell Signaling Technology, Inc.
    U.S. Patent No. 7,429,487, foreign equivalents, and child patents deriving therefrom.
    All other trademarks are the property of their respective owners. Visit our Trademark Information page.